Erik Lindborg*, Pierre Augier^, Ashwin Vishnu Mohanan*
* Linne Flow Center, Department of Mechanics, KTH, Stockholm, Sweden
^ LEGI / CNRS, Université Grenoble Alpes, Grenoble, France
Augier, P., Mohanan A.V. & Lindborg, E. Wave energy cascade in forced-dissipative one-layer shallow-water flows. J. Fluid Mech. (to be submitted).
Lindborg, E. & Mohanan, A. V. A two-dimensional toy model for geophysical turbulence. Phys. Fluids (2017).
Article [2] selected as featured research by AIP (Nov 22, 2017)
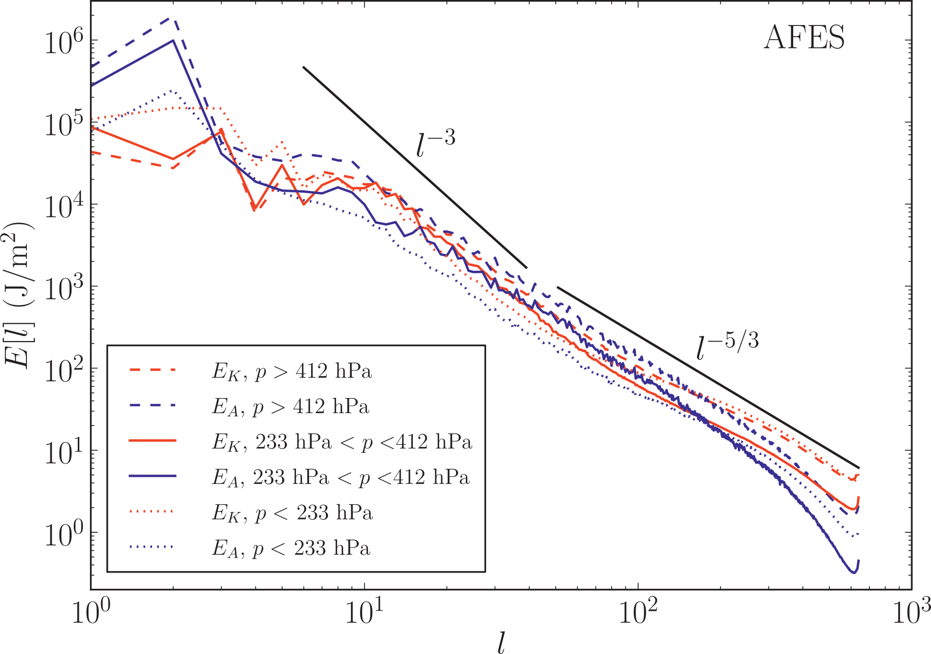
Gage (1979) & Lilly (1983): inverse energy cascade as in Kraichnan (1967)
Dewan (1979):forward energy cascade as in Kolmogorov (1941)
Lindborg (2006): Postulated scaling laws for non-rotating stratified turbulence
3D Boussinesq equation simulations in Lindborg (2006) demonstrated that
Explain many geophysical phenomena, including waves
Conserves potential vorticity and enstrophy.
Shallow water equation is often studied as QG equations:
$$\frac{D}{Dt}\left(\nabla^2 \psi + \beta y - \frac{1}{L_d^2} \psi \right)= \frac{D}{Dt}\left(\zeta + \beta y - f_0 \eta \right)=0$$Important assumptions:
Replace $ \red{-(1+\eta) \nabla \cdot {\bf u}}$ with $ \green{-\nabla \cdot {\bf u}} $
Replace $\red{{\bf u} \cdot \nabla}$ with
$\green{{\bf u_r} \cdot \nabla}$
While allowing, $|\zeta| \sim |d|$ in contrast with QG where $|\zeta| >> |d|$
Helmholtz decomposition:
with $\Psi$ and $\chi$ being the stream function and the velocity potential respectively.
where, $\theta = c\eta$
Pros: No shocks, KE and APE are quadratic and conserved, linearised potential vorticity conserved in the limit $Ro \rightarrow 0$: $q = \zeta - f\eta$
Cons: Full potential vorticity $Q$ is not exactly conserved
Normal modes: $\hat a_1, \hat a_2, \hat b$
where, $\omega = \sqrt{f^2+k^2c^2}$